Sec. da Criança e Juventude de PE convoca aprovados
Publicado por Belisa Parente, em 25.09.2012 às 12:00
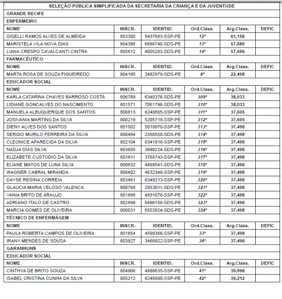
A Secretaria da Criança e da Juventude divulgou, no Diário Oficial de Pernambuco desta terça-feira (25), a convocação dos candidatos aprovados na seleção simplificada realizada no dia 05 de julho de 2012. Considerando a necessidade de preenchimento das vagas existentes, decorrentes de rescisões contratuais, bem como a desistência e o não comparecimento de candidatos, os convocados deverão se apresentar nesta terça (25), quarta (26) ou quinta-feira (27), no horário das 08h às 12h, e das 14h às 16h, na Secretaria da Criança e da Juventude, localizada na Av. Cruz Cabugá, 1211 – Santo Amaro, Recife.
Publicado por Belisa Parente, em 25.09.2012 às 12:00
A Secretaria da Criança e da Juventude divulgou, no Diário Oficial de Pernambuco desta terça-feira (25), a convocação dos candidatos aprovados na seleção simplificada realizada no dia 05 de julho de 2012. Considerando a necessidade de preenchimento das vagas existentes, decorrentes de rescisões contratuais, bem como a desistência e o não comparecimento de candidatos, os convocados deverão se apresentar nesta terça (25), quarta (26) ou quinta-feira (27), no horário das 08h às 12h, e das 14h às 16h, na Secretaria da Criança e da Juventude, localizada na Av. Cruz Cabugá, 1211 – Santo Amaro, Recife.




.jpeg)


















